7d39e73c57
Fix more URLs ( #153277 )
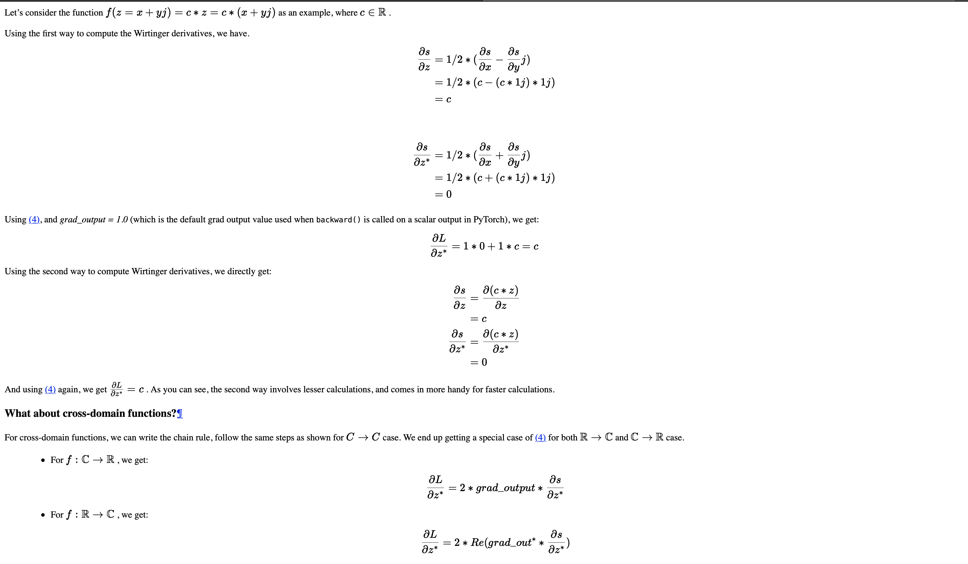
...
Or ignore them.
Found by running the lint_urls.sh script locally with https://github.com/pytorch/pytorch/pull/153246
Pull Request resolved: https://github.com/pytorch/pytorch/pull/153277
Approved by: https://github.com/malfet
2025-05-14 16:23:50 +00:00
2cf7fd0d2b
Update docs of saved_tensors_hooks to avoid ref cycle ( #153049 )
...
Fixes #115255
Pull Request resolved: https://github.com/pytorch/pytorch/pull/153049
Approved by: https://github.com/Skylion007 , https://github.com/soulitzer
2025-05-07 18:54:56 +00:00
f4bffb7461
[docs] fix autograd description on convex function case ( #148658 )
...
The sub-gradient of minimum norm is the least steep descent direction.
```python
import torch
x = torch.tensor([-2, -1, 0, 1, 2.], requires_grad=True)
torch.relu(x).sum().backward()
print(x.grad) # tensor([0., 0., 0., 1., 1.])
y = torch.tensor([-2, -1, 0, 1, 2.], requires_grad=True)
torch.abs(y).sum().backward()
print(y.grad) # tensor([-1., -1., 0., 1., 1.])
```
(How can I request a reviewer? I don't have the button on the right)
Pull Request resolved: https://github.com/pytorch/pytorch/pull/148658
Approved by: https://github.com/lezcano
2025-03-13 09:06:15 +00:00
7e7d05bf85
Revert "[do not merge yet] update grammar ( #147996 )"
...
This reverts commit 6e129a697f86425d0682ed30ffc9b3f8abe00e9e.
Reverted https://github.com/pytorch/pytorch/pull/147996 on behalf of https://github.com/seemethere due to Need to revert ([comment](https://github.com/pytorch/pytorch/pull/147996#issuecomment-2686291282 ))
2025-02-26 22:01:12 +00:00
6e129a697f
[do not merge yet] update grammar ( #147996 )
...
Pull Request resolved: https://github.com/pytorch/pytorch/pull/147996
Approved by: https://github.com/seemethere
2025-02-26 21:52:58 +00:00
dc7556f1bd
Revert "[do not merge yet] update grammar ( #147996 )"
...
This reverts commit a1ee2c3a08c3bf3d83c4e9f352ea179c107edb13.
Reverted https://github.com/pytorch/pytorch/pull/147996 on behalf of https://github.com/seemethere due to Need to revert ([comment](https://github.com/pytorch/pytorch/pull/147996#issuecomment-2686266052 ))
2025-02-26 21:43:06 +00:00
a1ee2c3a08
[do not merge yet] update grammar ( #147996 )
...
Pull Request resolved: https://github.com/pytorch/pytorch/pull/147996
Approved by: https://github.com/seemethere
2025-02-26 21:39:08 +00:00
7af38eb98b
Fix unexpected inference_mode interaction with torch.autograd.functional.jacobian ( #130307 )
...
Fixes #128264
Pull Request resolved: https://github.com/pytorch/pytorch/pull/130307
Approved by: https://github.com/soulitzer
2024-08-25 22:14:02 +00:00
6dfdce92ba
Fixed typos in the complex numbers portion of the autograd docs ( #127948 )
...
This PR fixes several typos in the complex numbers section of the docs for autograd. Only documentation was altered.
Pull Request resolved: https://github.com/pytorch/pytorch/pull/127948
Approved by: https://github.com/soulitzer
2024-06-06 22:47:04 +00:00
37e563276b
Document complex optimizer semantic behavior ( #121667 )
...
<img width="817" alt="image" src="https://github.com/pytorch/pytorch/assets/31798555/565b389d-3e86-4767-9fcb-fe075b50aefe ">
Pull Request resolved: https://github.com/pytorch/pytorch/pull/121667
Approved by: https://github.com/albanD
2024-03-16 00:43:47 +00:00
515aa993e3
Document post acc grad hooks in backward hooks execution ( #107323 )
...
Pull Request resolved: https://github.com/pytorch/pytorch/pull/107323
Approved by: https://github.com/soulitzer , https://github.com/albanD
2023-08-22 18:37:03 +00:00
dbc2216800
Add autograd modes table to docs ( #104774 )
...
Fixes #104461
Pull Request resolved: https://github.com/pytorch/pytorch/pull/104774
Approved by: https://github.com/soulitzer
2023-07-08 03:14:10 +00:00
b5c8d0359c
Update autograd.rst ( #101007 )
...
Fixes #ISSUE_NUMBER
typo fix and small change to improve clarity
Pull Request resolved: https://github.com/pytorch/pytorch/pull/101007
Approved by: https://github.com/lezcano , https://github.com/anjali411
2023-05-12 11:47:51 +00:00
50ed38a7eb
Fix typo under docs directory ( #97202 )
...
This PR fixes typo in `.rst` files under docs directory.
Pull Request resolved: https://github.com/pytorch/pytorch/pull/97202
Approved by: https://github.com/kit1980
2023-03-21 01:24:10 +00:00
77cbaedd5c
[docs] Add section about tensor hooks on in-place in autograd note ( #93116 )
...
Pull Request resolved: https://github.com/pytorch/pytorch/pull/93116
Approved by: https://github.com/albanD
2023-02-01 17:35:21 +00:00
219e9533f0
Improve autograd doc on complex numbers ( #93065 )
...
A tiny change to fix formatting and clarify a bit in [this section](https://pytorch.org/docs/stable/notes/autograd.html#what-are-complex-derivatives ).
Pull Request resolved: https://github.com/pytorch/pytorch/pull/93065
Approved by: https://github.com/albanD
2023-01-27 09:36:38 +00:00
88366a9075
Document hooks ordering behavior in the autograd note ( #91667 )
...
Pull Request resolved: https://github.com/pytorch/pytorch/pull/91667
Approved by: https://github.com/albanD
2023-01-18 00:20:13 +00:00
4f91b8e0ee
Fix typo under docs directory ( #91871 )
...
This PR fixes typo in '.rst' files under 'docs' directory
Pull Request resolved: https://github.com/pytorch/pytorch/pull/91871
Approved by: https://github.com/ngimel
2023-01-10 22:33:36 +00:00
44dac51c36
Improve Autograd Documentation Clarity ( #89401 )
...
This makes minor adjustments to the autograd docs, improving clarity and resolving grammatical errors
Pull Request resolved: https://github.com/pytorch/pytorch/pull/89401
Approved by: https://github.com/kit1980
2022-12-06 06:45:04 +00:00
bc57306bdd
Fix typo under docs directory and RELEASE.md ( #85896 )
...
This PR fixes typo in rst files under docs directory and `RELEASE.md`.
Pull Request resolved: https://github.com/pytorch/pytorch/pull/85896
Approved by: https://github.com/kit1980
2022-09-29 21:41:59 +00:00
a8ea58afee
Add randomness case to the autograd notes
...
I also took this chance to clean a bit the sphinx formatting and
reworded a few minor things.
Pull Request resolved: https://github.com/pytorch/pytorch/pull/78617
Approved by: https://github.com/soulitzer , https://github.com/albanD
2022-06-08 21:27:03 +00:00
d5210a4269
Add gradient choice detail to autograd doc
...
Trying to clarify what our backward functions should compute.
Pull Request resolved: https://github.com/pytorch/pytorch/pull/76898
Approved by: https://github.com/soulitzer , https://github.com/Lezcano
2022-05-06 21:12:25 +00:00
ab57876420
fix docs error in Autograd Mechanics
...
Fixes #74682
Pull Request resolved: https://github.com/pytorch/pytorch/pull/74807
Approved by: https://github.com/albanD
2022-03-29 18:32:16 +00:00
340fae4363
[Doc] Better formatting in autograd.rst ( #72586 )
...
Summary:
See title.
Pull Request resolved: https://github.com/pytorch/pytorch/pull/72586
Reviewed By: soulitzer
Differential Revision: D34177704
Pulled By: albanD
fbshipit-source-id: 1adf6ebed4f64ec4d8fff160df300c8e6ee528ea
(cherry picked from commit bbb586d67d726430e91f07bf55e2272381cadd1f)
2022-02-11 22:46:10 +00:00
25fba4a019
[DOC] Add link to "double backward" from "extending pytorch" page ( #72584 )
...
Summary:
It is probably the most user friendly to link to that (lesser known?) feature.
Pull Request resolved: https://github.com/pytorch/pytorch/pull/72584
Reviewed By: soulitzer
Differential Revision: D34173999
Pulled By: albanD
fbshipit-source-id: 99fff7a55412faf54888f8317ab2388f4d7d30e4
(cherry picked from commit 2191ee76570b8c22a16aca75f947ece38e6ca3cf)
2022-02-11 20:34:13 +00:00
23f902f7e4
Fix incorrect variable in autograd docs ( #70884 )
...
Summary:
Fixes https://github.com/pytorch/pytorch/issues/68362 .
Pull Request resolved: https://github.com/pytorch/pytorch/pull/70884
Reviewed By: mruberry
Differential Revision: D33463331
Pulled By: ngimel
fbshipit-source-id: 834ba9c450972710e0424cc92af222551f0b4a4a
2022-01-06 20:53:10 -08:00
1a202b0c39
Docs: Fix broken code syntax in autograd.rst ( #69362 )
...
Summary:
The backticks around `nn.Parameters` were not rendered correctly because the word was enclosed in an italics block.
Spotted the issue on https://pytorch.org/docs/stable/notes/autograd.html#locally-disable-grad-doc .
Pull Request resolved: https://github.com/pytorch/pytorch/pull/69362
Reviewed By: zou3519
Differential Revision: D32924093
Pulled By: albanD
fbshipit-source-id: 5a310ac3f3d13a5116f7aa911817b9452eee711d
2021-12-07 12:03:15 -08:00
b95ce1591d
Add docs describing saved tensor hooks ( #62362 )
...
Summary:
Add section to the Autograd mechanics docs to describe the recently
exposed saved tensors (https://github.com/pytorch/pytorch/issues/52451 ), how to register packing / unpacking
hooks (https://github.com/pytorch/pytorch/issues/60975 ) and how to use default hooks (https://github.com/pytorch/pytorch/issues/61834 )
Sister PR: https://github.com/pytorch/pytorch/issues/62361 (will add a link from autograd.rst to notes/autograd in whatever PR does not land first)
Pull Request resolved: https://github.com/pytorch/pytorch/pull/62362
Reviewed By: soulitzer
Differential Revision: D30453177
Pulled By: Varal7
fbshipit-source-id: f5759977b069ff0ef36a47b08856d297691a6caa
2021-08-20 11:10:51 -07:00
58df01c3b8
clarify default value of requires_grad for tensors ( #61038 )
...
Summary: Pull Request resolved: https://github.com/pytorch/pytorch/pull/61038
Test Plan: Imported from OSS
Reviewed By: albanD
Differential Revision: D29491984
Pulled By: dagitses
fbshipit-source-id: 7e6b7f8e81d77f38c881b86a68c17d3cf5483dad
2021-07-12 12:57:37 -07:00
a7a5992d7d
Add no-grad inference mode note ( #58513 )
...
Summary:
Adds a note explaining the difference between several often conflated mechanisms in the autograd note
Also adds a link to this note from the docs in `grad_mode` and `nn.module`.
Pull Request resolved: https://github.com/pytorch/pytorch/pull/58513
Reviewed By: gchanan
Differential Revision: D28651129
Pulled By: soulitzer
fbshipit-source-id: af9eb1749b641fc1b632815634eea36bf7979156
2021-05-25 13:06:54 -07:00
70d9be0f42
Replace duplicative s with alpha ( #56804 )
...
Summary:
It is always easier to read a document when different objects / concepts denoted with different variables / representations.
In this PR we make sure the [complex autograd](https://pytorch.org/docs/master/notes/autograd.html#autograd-for-complex-numbers ) documentation, the variable of output and step size diverge.
Fixes https://github.com/pytorch/pytorch/issues/53633
Pull Request resolved: https://github.com/pytorch/pytorch/pull/56804
Reviewed By: anjali411
Differential Revision: D27989959
Pulled By: iramazanli
fbshipit-source-id: c271590ee744c8aeeff62bfaa2295429765ef64e
2021-04-25 16:27:09 -07:00
34d4d79966
Autograd doc note fix ( #51661 )
...
Summary: Pull Request resolved: https://github.com/pytorch/pytorch/pull/51661
Test Plan: Imported from OSS
Reviewed By: ezyang
Differential Revision: D26230912
Pulled By: anjali411
fbshipit-source-id: 94323d7bce631a4c5781020e9650495461119ede
2021-02-03 15:08:35 -08:00
fd9a85d21b
Doc update for complex numbers ( #51129 )
...
Summary: Pull Request resolved: https://github.com/pytorch/pytorch/pull/51129
Test Plan: Imported from OSS
Reviewed By: pbelevich
Differential Revision: D26094947
Pulled By: anjali411
fbshipit-source-id: 4e1cdf8915a8c6a86ac3462685cdce881e1bcffa
2021-01-27 07:32:26 -08:00
1833009202
Fix typo in complex autograd docs ( #49755 )
...
Summary:
Update complex autograd docs to fix a typo
Pull Request resolved: https://github.com/pytorch/pytorch/pull/49755
Reviewed By: mruberry
Differential Revision: D25692649
Pulled By: soulitzer
fbshipit-source-id: 43c2113b4c8f2d1828880102189a5a9b887dc784
2020-12-23 14:42:34 -08:00
ac245f6b45
Complex autograd doc fix ( #46258 )
...
Summary: Pull Request resolved: https://github.com/pytorch/pytorch/pull/46258
Test Plan: Imported from OSS
Reviewed By: ailzhang
Differential Revision: D24286512
Pulled By: anjali411
fbshipit-source-id: 60bc98d69336101c0d8fe5ab542b9757b5e7faac
2020-10-13 14:36:50 -07:00
89256611b5
Doc note update for complex autograd ( #45270 )
...
Summary:
Pull Request resolved: https://github.com/pytorch/pytorch/pull/45270
<img width="1679" alt="Screen Shot 2020-10-07 at 1 45 59 PM" src="https://user-images.githubusercontent.com/20081078/95368324-fa7b2d00-08a3-11eb-9066-2e659a4085a2.png ">
<img width="1673" alt="Screen Shot 2020-10-07 at 1 46 10 PM" src="https://user-images.githubusercontent.com/20081078/95368332-fbac5a00-08a3-11eb-9be5-77ce6deb8967.png ">
<img width="1667" alt="Screen Shot 2020-10-07 at 1 46 30 PM" src="https://user-images.githubusercontent.com/20081078/95368337-fe0eb400-08a3-11eb-80a2-5ad23feeeb83.png ">
<img width="1679" alt="Screen Shot 2020-10-07 at 1 46 48 PM" src="https://user-images.githubusercontent.com/20081078/95368345-00710e00-08a4-11eb-96d9-e2d544554a4b.png ">
<img width="1680" alt="Screen Shot 2020-10-07 at 1 47 03 PM" src="https://user-images.githubusercontent.com/20081078/95368350-023ad180-08a4-11eb-89b3-f079480741f4.png ">
<img width="1680" alt="Screen Shot 2020-10-07 at 1 47 12 PM" src="https://user-images.githubusercontent.com/20081078/95368364-0535c200-08a4-11eb-82fc-9435a046e4ca.png ">
Test Plan: Imported from OSS
Reviewed By: navahgar
Differential Revision: D24203257
Pulled By: anjali411
fbshipit-source-id: cd637dade5fb40cecf5d9f4bd03d508d36e26fcd
2020-10-08 15:04:52 -07:00
b9442bb03e
Doc note for complex ( #41252 )
...
Summary: Pull Request resolved: https://github.com/pytorch/pytorch/pull/41252
Test Plan: Imported from OSS
Reviewed By: albanD
Differential Revision: D22553266
Pulled By: anjali411
fbshipit-source-id: f6dc409da048496d72b29b0976dfd3dd6645bc4d
2020-07-16 08:53:27 -07:00
db38487ece
Autograd Doc for Complex Numbers ( #41012 )
...
Summary: Pull Request resolved: https://github.com/pytorch/pytorch/pull/41012
Test Plan: Imported from OSS
Differential Revision: D22476911
Pulled By: anjali411
fbshipit-source-id: 7da20cb4312a0465272bebe053520d9911475828
2020-07-10 09:57:43 -07:00
eebd492dcf
[doc] fix autograd doc subsubsection display issue ( #40582 )
...
Summary:
Pull Request resolved: https://github.com/pytorch/pytorch/pull/40582
There's a misuse in the `requires_grad` with ~~~~~~, "~~~~" is not a official section marker, change it to "^^^^^" to denote subsubsections, also fix the other places where we should use subsection "-----" instead of subsubsection "^^^^"
see https://www.sphinx-doc.org/en/master/usage/restructuredtext/basics.html#sections
Before:
<img width="712" alt="rst_before" src="https://user-images.githubusercontent.com/9443650/85789835-2226fa80-b6e4-11ea-97b6-2b19fdf324a4.png ">
After:
<img width="922" alt="rst_after" src="https://user-images.githubusercontent.com/9443650/85789856-281cdb80-b6e4-11ea-925f-cb3f4ebaa2bf.png ">
Test Plan: Imported from OSS
Differential Revision: D22245747
Pulled By: wanchaol
fbshipit-source-id: 11548ed42f627706863bb74d4269827d1b3450d4
2020-06-25 23:28:33 -07:00
8ec2ae9a9f
Add view_as_real, view_as_complex for complex tensors ( #39099 )
...
Summary: Pull Request resolved: https://github.com/pytorch/pytorch/pull/39099
Test Plan: Imported from OSS
Differential Revision: D22057886
Pulled By: anjali411
fbshipit-source-id: bad5ba7097ba0dd13f2c549b2463094dee9afa14
2020-06-22 15:15:27 -07:00
1039b95ff0
[autograd] add documentation about multithread autograd ( #37020 )
...
Summary:
Pull Request resolved: https://github.com/pytorch/pytorch/pull/37020
Add multithread autograd documentation to the doc note.
Test Plan: Imported from OSS
Differential Revision: D21260996
Pulled By: wanchaol
fbshipit-source-id: 91d523560268ae62d4c6d773121b282ba837a561
2020-04-27 15:53:21 -07:00
eb29276623
Update distributed autograd design doc with appropriate links. ( #29927 )
...
Summary:
Pull Request resolved: https://github.com/pytorch/pytorch/pull/29927
With the docs page now up, we can update the links in the design doc
to point to the docs page.
ghstack-source-id: 94055423
Test Plan: waitforbuildbot
Differential Revision: D18541878
fbshipit-source-id: f44702d9a8296ccc0a5d58d56c3b6dc8a822b520
2019-11-15 21:10:53 -08:00
2acc247517
[docs] Update autograd notes ( #6769 )
2018-04-19 13:34:14 -04:00
e39e86f119
Remove deprecated references to volatile ( #5193 )
2018-02-12 21:08:27 +01:00
65353f1342
Remove volatile section from autograd notes
2018-02-01 00:26:36 +01:00
66bbe5d75a
.creator -> .grad_fn in the code example ( #2171 )
2017-07-21 14:43:16 -04:00
16dd997239
Spelling tweaks for documentation ( #2114 )
2017-07-15 13:16:32 -07:00
52a9367fa7
Fix minor typo ( #2100 )
...
Fixed minor typo in Autograd mechanics docs.
2017-07-14 10:20:13 -04:00
447fe953e5
Modify the sample code of volatile ( #1694 )
...
The original two inputs (torch.randn(5,5)) can not be used as input of resnet, which must be (batch, channels, width, height)
2017-06-01 09:46:04 -04:00
2f4bf4ab39
Rewrite 'How autograd encodes the history' to accurately describe current setup. ( #1580 )
...
Signed-off-by: Edward Z. Yang <ezyang@fb.com >
2017-05-17 19:21:20 -04:00